1
通过光波确定限值
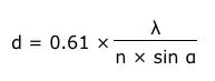
但是,表现光学显微镜性能的不仅仅有放大率,还有分辨率。分辨率指对两个紧密相邻的点分辨的能力。根据瑞利(Rayleigh)定律,能够分别成像的两个点之间的最小距离大约相当于光波长的一半。

λ=光波长
n=标本和物镜之间的介质的折光率
α=物镜孔径角的一半
因此,对于蓝光,分辨率限值约为d=0.2μm;对于红光,d=0.35μm左右。UV物镜的分辨率略低于0.2μm。肉眼无法区分小于0.2mm的结构。
n×sin α的数值对应于数值孔径(NA),即表示聚光能力和物镜分辨率的量度。由于孔径角不能超过90°,折光率永远大于等于1(nair=1),所以大气中的NA始终在1左右。如果采用油浸的方式(n>1),数值孔径将增加(达到约1.45),分辨率也将随之升高。

图1:可见光光谱
因此,对于蓝光,分辨率限值约为d=0.2μm;对于红光,d=0.35μm。UV物镜的分辨率略低于0.2μm。肉眼无法区分小于0.2mm的结构。

图2:物镜的数值孔径决定了图像的具体分辨率和亮度
2
放大率并非越大越好
为了使人眼能够观察到显微分辨率,目镜中出现的图像应具有相应的放大率。分辨率和放大率始终直接相关。放大率低的物镜具有低数值孔径,因此分辨率低。
高倍物镜的数值孔径也很高,如果是40倍干式物镜,则数值孔径通常为0.8。但由于数值孔径增加到某个特定点后无法继续增加,所以在传统的光学显微镜中,可用的放大范围也是有限的。“有用"的显微镜放大率在500×NA和1000×NA之间。
一些光学显微镜声称具有极大的放大率,但实际上最高还不到1400倍。专家将超出该范围的一切倍率都称作“无效放大率"。虽然看似放大了结构,但并没有进一步分辨细节部分。

图3:含10%钴的硬质合金(亚微米结构,初始晶粒度为0.6µm),用于生产重型工具。左:通过干式物镜观察,NA=0.90,右图:通过油浸物镜观察,NA=1.30(由Konrad Friedrichs GmbH & Co KG, Kulmbach, Germany提供
电话
微信扫一扫
